|
La serie di Fourier
Se f(x) è una funzione periodica di periodo
2 ,
integrabile nell'intervallo (- , )
si chiama serie di Fourier ad essa associata la serie
trigonometrica

Ecco come ottenere i coefficienti :

Esercizio svolto:
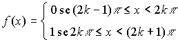
Per fare un esempio svolgiamo quindi un esercizio esplicativo
sviluppando in serie di Fourier la funzione così definita:

Se tracciamo il grafico della funzione:
|
|
y = 0
|
k = 0
|
-
x < 0
|
|
k = 1
|

x < 2
|
|
k = 2
|
3
x < 4
|
|
k = 3
|
5
x < 6
.......
|
|
|
y = 1
|
k = 0
|
0
x < 
|
|
k = 1
|
2
x < 3
|
|
k = 2
|
4
x < 5
|
|
k = 3
|
6
x < 7
.......
|
|

Nei punti - ,0,
la funzione presenta punti di discontinuità di prima
specie.
Def:Punto di discontinuità: punto p del dominio
della funzione f(x) per cui il limite della funzione per x che tende
a p non esiste oppure esiste ma non coincide con f(p).
Def. Punto di discontinuità di prima specie: i punti
di discontiunità di prima specie sono quei punti per cui il
limite destro e sinistro esistono ma differiscono entrambi da
f(p).
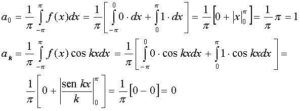
Sono pertanto soddisfatte le Condizioni di Dirichlet. Troviamo
quindi i coefficienti della serie trigonometrica:

Quindi trovàti i coefficienti possiamo sostituirli
nella Serie di Fourier
.

In forma compatta ;
Serie di Fourier in forma complessa:
Data la serie di Fourier per la funzione periodica f(x) di periodo
2 :
f(x)=
se esprimiamo sen nx e cos nx con le formule di Eulero otteniamo:

sostituendo cos nx e sen nx nella formula otteniamo:

Ora se poniamo:

© C o p y r i g h
t 1 9 9 4 - 2 0 0 4
w w w . d i z i o n a r i o i n f o r m a t i c o . c o m |
 |
|